Тема 5. Численное дифференцирование и интегрирование в электронной таблице

 5.1. Вычисление производной функции одного переменного

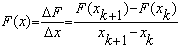
Известно, что численными приближенными методами производная функции в заданной точке может быть вычислена с использованием формулы конечных разностей. Выражение для вычисления производной функции одного переменного, записанное в конечных разностях, имеет вид:

При достаточно малых  приращениях х, можно с приемлемой точностью получить величину производной Для вычисления производной в MS Excel будем использовать приведенную зависимость. Рассмотрим методику вычисления производной на примере упражнения.

Пример 17. Найти производную функции Y= 2x3 + x2 в точке x= 3. Производная, вычисленная аналитическим методом, равна 60.

Решение:

1. Ведите в ячейку рабочего листа формулу правой части заданной функцио-нальной зависимости, например в ячейку В2, как показано на рисунке 27 , делая ссылку на ячейку, где будет находиться значение х, например А2:  = 2*А2^3+A2^2 2. Определите окрестность точки х=3 достаточно малого размера, например значение слева Х k = 2,9999999, а справа Хk+1 = 3,00000001 и введите эти зна-чения в ячейку А2 и А3 соответственно.

3. В ячейку С2 введите формулу вычисления производной (см рис. 27): 

 = (В3-В2)/(A3-A2).

 

                                 Рисунок 27

В результате в ячейке С2 будет вычислено приближенное значение производной заданной функции в точке х=3, величина которой равна 60, что соответствует результату, полученному аналитически.

    К следующей    Открыть содержание темы
Hosted by uCoz