Суммирование и вычитание матриц            1.6. Суммирование и вычитание матриц

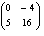
Складывать и вычитать можно только матрицы (векторы) одного размера. Матрицы складываются (вычитаются) поэлементно. Например, если А = ,

В = , то С =

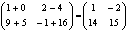
Пример 4. Пусть элементы матрицы А, приведенной выше, находятся в диапазоне А2: C3, а элементы матрицы В - в диапазоне D2:E3 (см. рис. 3). Требуется найти матрицу, являющуюся суммой матриц А и В.

Для выполнения вычислений выполните действия:

1. Выделите диапазон, где будут размещаться элементы результирующей матрицы С, например G2:H3.

2. В выделенный диапазон введите формулу: = А2: B3 + D2:E3

 3. Нажмите комбинацию клавиш Ctrl + Shift + Enter. После выполнения операций в диапазоне ячеек G2:H3 будут помещены результаты вычисленных значений элементов результирующей матрицы С (рис. 5).

 Рисунок 5

Подобным образом вычисляется и разность матриц, а также их скалярное произведение (деление).

     К предыдущей        К следующей    Открыть содержание темы

Hosted by uCoz